请在
下方输入
要搜索的题目:
搜 索
3e, dre
3e, dre
发布时间:
2026-02-20 05:07:20
首页
国家电网试题
推荐参考答案
(
由 题搜搜 官方老师解答 )
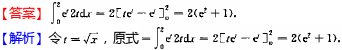
答案:
相关试题
1.
3e, dre
2.
农药的发展趋势“3E”不包括
3.
3E没有手机APP版
4.
3E没有手机APP版。
5.
D. mv 3E 5F sin ey816
6.
安全生产的“3E对策”理论是指。
7.
“3E原则”认为可以采取()种对策防止事故的发生。
8.
基于3E(External Equity/Internal Equity/Indivadual Equity)的薪酬体系设计原则是指( ) 。
9.
下列气态氢化物最稳定的是()A、CHB、4C、O HD、3E、HF、2G、OH、HF
10.
冲击系数 k im 的数值变化范围是 ( )A、0 ≤ k im ≤ 1B、1 ≤ k im ≤ 2C、0 ≤ k im ≤ 2D、1 ≤ k im ≤ 3E、[参考答案]: B
登录 - 搜搜题库网
登录
立即注册
已购买搜题包,但忘记账号密码?
登录即同意
《服务协议》
及
《隐私政策》
注册 - 搜搜题库网
获取验证码
确认注册
立即登录
登录即同意
《服务协议》
及
《隐私政策》