请在
下方输入
要搜索的题目:
搜 索
(6)gT COST
(6)gT COST
发布时间:
2025-10-23 16:00:50
首页
学习通答案
推荐参考答案
(
由 题搜搜 官方老师解答 )
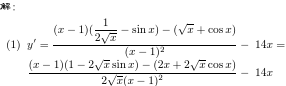
答案:
相关试题
1.
(6)gT COST
2.
cost—cost—cost
3.
gama gt exame
4.
x= a(cost sint), dyy= a(sint- t cost)
5.
replacement cost()
6.
】labor cost
7.
insurance cost
8.
gt sensor carbon pro
9.
cost per impression
10.
health care cost
登录 - 搜搜题库网
登录
立即注册
已购买搜题包,但忘记账号密码?
登录即同意
《服务协议》
及
《隐私政策》
注册 - 搜搜题库网
获取验证码
确认注册
立即登录
登录即同意
《服务协议》
及
《隐私政策》