- 首页
- 学习通答案
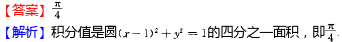
答案:
-
1.14r-r d
-
2.【答案】BD D, D, D, DD, D D, D: De图
-
3.(A)aQ,d≠Ω(B)a≠Ω,d∈Q(C)a∈Ωd∈Ω(D)a∈Ω,d∈
-
4.【答案】cDo D, D D, D, D, D. DS2图
-
5.D=()(D)
-
6.D.-8.25V【答案】BRAD7533D D, D, D, DDDD, D De
-
7.设d为字符变量,下列表达式正确的是 。(0级)A、d=678B、d=’a’C、d=”d”D、d=’gjkl’
-
8.d'f'd'sa
-
9.D
-
10.[D] Не менять вид города в целом.