请在
下方输入
要搜索的题目:
搜 索
n 1n 22n
n 1n 22n
发布时间:
2026-01-17 03:32:55
首页
特岗教师
推荐参考答案
(
由 题搜搜 官方老师解答 )
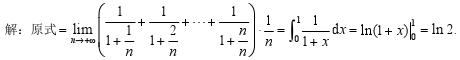
答案:
相关试题
1.
n 1n 22n
2.
(1)im1(1n→n
3.
x2 1n) lim 2(sin x cosx)=
4.
105,求1=li∑一2 1n
5.
\n\n A\n\n\n B\n\n\n C\n\n\n D\n
6.
\n\n\n\n A\n\n\n\n\n B\n\n\n C\n\n\n D\n\n\n
7.
【单选题】n n n n n n
8.
n+n*n+n*n*n+n*n*n*n+n*n*n*n*n=?
9.
观察:BA 1 2 [n(n 1)-(n-1)n]=n,n∈N * EA 1 2 [n(n 1)-(n-1)n]=n,n∈N * .
10.
设0<a<1,0<b<1,则C n 0 a n c n 1 a n-1 b … c n n b n 则 lim n→∞ a n b n (a b) n = lim n→∞ a n b n a
登录 - 搜搜题库网
登录
立即注册
已购买搜题包,但忘记账号密码?
登录即同意
《服务协议》
及
《隐私政策》
注册 - 搜搜题库网
获取验证码
确认注册
立即登录
登录即同意
《服务协议》
及
《隐私政策》