请在 下方输入 要搜索的题目:

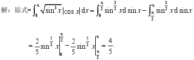
(7)[√sin3x-sin3rdr

(7)[√sin3x-sin3rdr

发布时间:2025-11-24 13:38:06
推荐参考答案 ( 由 题搜搜 官方老师解答 )
答案:
登录 - 搜搜题库网
立即注册
注册 - 搜搜题库网
立即登录